Для шлифовки, выравнивания древесины, металла, камня, пластика применяют абразивные материалы. Для ручной доводки или с использованием шлифовальных ручных машин, нужна наждачная бумага. Это такой материал с шершавой поверхностью. Степень «шершавости» определяет зернистость наждачной бумаги. Что это такое и как выбирается, какие еще разновидности наждачки могут быть, как ее выбирать. Обо всем этом читаем дальше.
Что такое наждачная бумага
Наждак, шлифовальная шкурка (или просто шкурка), шлифшкурка, абразивная или наждачная бумага — это все названия одного и того же материала. Этот материал представляет собой абразив на гибкой основе для ручной или аппаратной обработки различных материалов. Есть наждак для металла, древесины, пластика, стекла. Применяют иногда и для обработки штукатурки и шпатлевки, но для этих целей удобнее может быть шлифовочная сетка. Она не так забивается.

Абразив для шкурки — это небольшие частицы жестких материалов разного размера. Эти частицы называют зернами, а их размер — зернистостью. Они приклеиваются на гибкую основу. Чаще встречается шлифовальная/абразивная шкурка на бумажной основе. Это самый дешевый вид, но не самый прочный. Тканевая основа более надежна, но может тянуться, что тоже не всегда удобно при работе. Наждак на полиэтиленовой основе — водостойкий шлифовальный материал. Это наиболее дорогой вид, но можно работать даже в воде. Для мокрой обработки также применяется наждак на водопрочной бумаге.

Наждачную бумагу применяют для устранения неровностей и дефектов, для получения гладкой поверхности, шлифовки и полировки. Так что обработка наждаком может быть грубой или тонкой. Под грубой понимают устранение краски или ржавчины, заусенцев, первичное выравнивание поверхности. Для этой работы применяют материал с крупным (от 500 мкм до 1 мм и более) и средним (от 200 мкм до 500 мкм) зерном. Получение ровной и гладкой поверхности — шлифовка, полировка — это уже тонкая или финишная обработка. Для этого типа работ применяют шкурку с мелким зерном (менее 200 мкм).
Формы выпуска и виды
Привычная нам форма выпуска — в рулонах или листах. Листовая может быть на основе картона, а может быть на плотной бумаге. Чаще всего она более жесткая, чем рулонная. Рулонную чаще применяют на ленточных шлифовальных машинах, да и при ручном использовании тоже. Кроме того, есть следующие виды абразивных материалов:
- Абразивные круги. Используются для установки на насадки для специальных машин. Это могут быть шлифовальные машинки, насадки на дрель, УШМ. Есть разного типа:
- Обычные круги разного диаметра и разной зернистости.
- С липучкой, приклеенной с тыльной стороны.
- Лепестковые — это когда на основу наклеены полоски наждачной бумаги. Могут быть разной зернистости. Применяются для черновой обработки металлов (обычно), для снятия краски (в том числе и с бетона).

Абразивная шлифовальная бумага выпускается в виде листов, рулонов, лент, кругов. Есть и другие формы — для насадок на инструменты
- Ленты для ленточных шлифовальных машин. Они имеют определенную длину и ширину — под наиболее распространенные типоразмеры.
- Сетка. Тонкая проволока, переплетенная в виде полотна. Абразивные частицы приклеиваются на проволоку. Такой материал удобен для шлифовки штукатурки, так как большая часть образующейся пыли просыпается сквозь ячейки сетки и абразив не забивается. Именно такой материал применяют для выравнивания гипсовой штукатурки под покраску.
Есть еще шлифовальные губки. Это абразив, который нанесен на вспененный полиуретан. Этот тип абразива применяют для доведения до гладкости поверхностей с пазами, резьбой, углублениями. Абразивные частицы могут наноситься на одну, две или четыре стороны губки. Могут быть одного размера или разного. Но обычно, это мелкое зерно, просто разной степени «мелкости». Губки более удобны, так как принимают любую форму, кроме того их можно промыть от пыли и высушить. Количество промывок не ограничено. От мытья они не страдают, можно применять пока зерно не осыпалось. А это зависит от качества.
Виды зернистости наждачной бумаги
Как уже говорили, зернистость наждачной бумаги — это размеры фрагментов абразива. Измеряются они в микрометрах. Самое малое зерно, которое встречается в наждачной бумаге, имеет всего 3-5 мкм, самое крупное — 1000 мкм (это 1 мм). По размерам зерна различают мелкозернистый и крупнозернистый абразив.

Стандарты России
Для того чтобы можно было понять, какой конкретно материал перед вами, размеры абразивного зерна указываются в маркировке. Но с ней не все так просто. Во времена СССР был введен ГОСТ (3647-80), обозначение согласно которому существует до сих пор, хотя в 2005 году ввели новый стандарт (ГОСТ Р 52381-2005), который разработан на основе общеевропейских норм. Разница между старым и новым ГОСТом существенная.

- По старому стандарту прописывается минимальный размер зерна. То есть чем больше число, тем крупнее зерно. Но надо иметь в виду, что часть зерен меньше. Кроме того, маркировка (буквенное обозначение) для крупного и мелкого зерна разная. Это стоит помнить.
- Для крупнозернистого наждака, зернистость наждачной бумаги указывается в микронах, а после него пишут букву Н с дефисом перед ней — «Н». Например, 63-Н, Это значит, что минимальный размер зерна на наждаке будет 63 микрона или 63 микрометра (мкм). Но там же будут частицы более крупного размера. Насколько крупнее? Чуть меньше предыдущей марки. В данном случае крупнее 63-Н только 80-Н, то есть зерно будет чуть меньше 80 мкм. Второй пример — 6-Н. Размер зерна не более 6 микрон или 60 мкм, а самые крупные будут не более 80 мкм (так как предшествующая марка 80-Н).
| 80-Р | Р22 | 800-1000 | Черновая обработка стали, другого металла, древесины, удаление ржавчины, заусенцев |
| 63-Н | Р24 | 630-800 | |
| 50-Н | Р36 | 500-630 | |
| 40-Н | Р40 | 400-500 | Грубые работы по дереву, первичная шлифовка древесины |
| 32-Н | Р46 | 315-400 | |
| 25-Н | Р60 | 250-315 | |
| 20-Н | Р80 | 200-250 | Сглаживание, Первичная шлифовка. Штукатурки, древесины, металла |
| 16-Н | Р90 | 160-200 | |
| 12-Н | Р100 | 125-160 | |
| 10-Н | Р120 | 100-125 | |
| 8-Н | Р150 | 80-100 | Снятие краски, шлифовка металла и мягких пород древесины, подготовка к шлифовке твердых пород древесины |
| 6-Н | Р180 | 63-80 |
-
- При маркировке мелкозернистой шлифовальной шкурки размер зерен указывается в микрометрах, а после цифры ставят букву «М» (без дефиса). Пример: 14М. Это значит, что максимальная зернистость наждачной бумаги 14 микрометров, но есть и более мелкое зерно размером до 10 мкм.
- По новому стандарту (ГОСТ Р 52381-2005) зернистость наждачной бумаги указывается по числу волокон сита, через которое просеивается абразив. Получается тут чем меньше число, тем крупнее зерно. Перед цифрой ставят букву «Р».
| 5-Н или М 63 | Р240 | 50-63 | Выравнивание перед покраской и начало шлифовки твердых пород |
| 4-Н или М 50 | Р320 | 40-50 | |
| Н-3 или М 40 | Р400 | 28-40 | Окончательное выравнивание под покраску, шлифовка древесины |
| Н-3 или М28 | Р500 | 20-28 | |
| Н-1 или М20 | Р1000 | 14-20 | Шлифовка металла, пластика, керамики, мокрая доводка до гладкости древесины |
| Н-0 или М10 | Р1500 | 10-14 | Сверхтонкая полировка металла, доводка до глянца пластика, древесины |
| Н-00 или М5 | Р2500 | 7-8 |
Как видите, уже довольно запутано. Еще стоит сказать, что по старому стандарту мелкозернистый наждак может иметь двойное обозначение — с буквами М и Н — как в таблице. Причем, чаще в ходу были именно варианты в микронах. Поэтому самое мелкое зерно — 5М или 00-Н — называют часто нулевкой. Это потому что оно имеет размер 3-5 микрометров. По правилам округления это можно считать нулем. Отсюда и пошло это название.
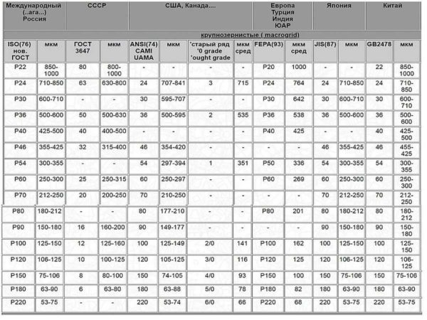
Таблицы соответствия стандартам других стран
Как видим, ситуация непростая. А есть еще Американский ANCI (США и Канада), Европейский FEPA или другое его название ISO 6344, Японский JIS и Китайский GB2478. Причем на рынке можно встретить материал практически из всех этих стран/частей света. Так что желательно иметь хоть какие-то данные. Наиболее часто встречающиеся приведены в таблицах.


Обратите внимание, рядом с каждой колонкой прописаны размеры зерен в микрометрах (мкм). Размеры отличаются. Для работы это может быть важно.
Маркировка наждачной бумаги
Маркировка наждачной бумаги — набор букв и цифр, в которой закодирована полная информация о типе основы, абразива, способа нанесения, состава и размеров зерна. Зернистость мы уже рассмотрели. Это параметр стоит в конце ряда букв и чисел. С ним более-менее понятно. А вообще, маркировка наждачной бумаги отображает следующие данные (начиная с первого знака):
- из какого материала сделано зерно;
- основа шкурки;
- связующее, которым зерно приклеено к основе;
- способы нанесения зерна;
- тип основы (бумаги или ткани);
- водостойкость (если неводостойкая, никакого значка нет);
- зернистость наждачной бумаги.

Давайте разбираться с остальными характеристиками, которые зашифрованы в маркировке. Буквы тут стоят латинские. Давайте для примера разберем, что значит следующая маркировка: KK19XW. Итак:
- первая K — тип абразива — нормальный электрокорунд;
- вторая K — основа — хлопчатобумажная ткань;
- 1 — двухслойное нанесение связующего (смола + смола).
- 9 — тип нанесения неясен;
- Х — тип текстиля — жесткий.
- W — обозначает то, что материал водостойкий.
Далее должна стоять буква P и цифры, по которым определяется зернистость наждака.
Виды абразива
Первая буква в маркировке обозначает материал, из которого сделан абразив. Именно абразивный материал отвечает за то, сколько усилий надо прилагать при обработке. Чем прочнее он, тем дольше можно работать одним куском шкурки. К сожалению, тут справедливо правило — чем лучше, тем дороже.
- К — «нормальный» электрокорунд. Абразив имеет коричневый цвет (оттенки могут быть разные). Самый распространенный и относительно недорогой материал.
- C — карбид кремния. Очень прочный материал. Длительное время не стирается и мало забивается. Для обработки стекла и пластика, для финишной полировки металла.

Разновидности наждачной бумаги. Они отличаются не только размером зерна, но и материалом из которого это зерно сделано - G — циркониевый электрокорунд. Имеет кирпично-красный цвет за счет добавки циркония. Отличается повышенной износостойкостью, но стоит дороже «обычного».
- A — легированный электрокорунд. Имеет добавку титана, что придает ему синий цвет. Самый, пожалуй, прочный. Рекомендован для шлифовки трудно поддающихся обработке материалов.
- V — белый электрокорунд. Отличается белым цветом за счет большого количества алюминия.
- S — керамический электрокорунд.
Если глядя на фото, вы решили, что наждак подкрашен, то зря. Разные цвета ему придают различные добавки, применяемые при изготовлении веществ для абразива. Другое дело, что чаще всего мы видим коричневую, серую или темно-серую шкурку для шлифовки. Они просто самые дешевые и наиболее ходовые.
Виды основы
Основа шлифовальной шкурки — это материал, на который наклеен абразив. Этот материал определяет степень гибкости, устойчивость к деформациям. Также от основы зависит, для сухой или влажной шлифовки можно использовать этот тип шкурки.
В маркировке вид основы зашифрован второй буквой.
- Тканая основа. Полотна ткутся из хлопковых и синтетических волокон:
- K — хлопковая ткань. Высокая прочность, износостойкость, не боится намокания. Из недостатков — может удлиняться во время работы. Для ленточных шлифмашин это плохо.
- X — текстиль из полиэстера. По сравнению с хлопком отличается большей износостойкостью. Идет на изготовление лент различной ширины. Основа плотная. Может слегка растягиваться при заправке в шлифовальные машины и при этом длительное время не деформируется.

Наждачная ткань — шкурка на тканой (текстильной) основе - Y — синтетическая. Применяется в мебельной промышленности для шлифовки деревянных щитов. Выдерживает очень большие нагрузки.
- J — эластичная х/б ткань. Применяется для обработки незначительного рельефа.
- JJ или F — х/б ткань повышенной эластичности. Эти виды основы — для узких лент, для обработки глубокого рельефа. Очень хорошо тянутся и гнутся.
- P — бумажная основа. Недорогая, можно наносить даже очень мелкое зерно. Нулевка и другие абразивы с мелким зерном именно на такой основе. Без дополнительной пропитки не может применяться для мокрой шлифовки (с подачей воды). Бумага для наждака бывает разной плотности. На менее плотную наносят мелкий абразив, на более плотную — крупный. Такие типы бумаги для шлифовальной шкурки есть:
- А — плотность 90 г/м², В — 110 г/м². Для мелкого зерна. Гибкая, гнется хорошо, что облегчает финишную доводку.

Шлифовальная шкурка — это второе название наждачной бумаги - С — плотность 125 г/м², для абразива среднего размера. Этот тип наиболее популярен. Может быть в виде рулонов или тонких листов.
- Плотность бумаги D — 150-180 г/м², типа E — 220-250 г/м². Это основа для грубого зерна. Обычно есть в виде листов (ручное применение) и узких лент, дисков для виброшлифовальных машин.
- Жесткая бумага F (270 г/м²) и T (300 г/м²) — основа для очень крупного зерна. Ее применяют для изготовления широких лент для больших шлифмашин.
- А — плотность 90 г/м², В — 110 г/м². Для мелкого зерна. Гибкая, гнется хорошо, что облегчает финишную доводку.
- F — фибра. Плотное и прочное полотно. Применяется для дисков. Впитывает воду и поэтому не годится для мокрой шлифовки.
- C — комбинированная основа. Это тяжелая бумага, с одной стороны проклеенная тканью. Ткань делает бумагу более устойчивой к деформациям, она дольше эксплуатируется. Применяют обычно для крупного зерна.
- T — латексная бумага. Это специализированный тип основания, который домашние мастера не применяют в силу его высокой стоимости.
Если говорить об основе, то наиболее дешевый наждак на основе бумаги. Его обычно применяют для ручной обработки или закрепляют на ручном держаке. Для шлифмашин чаще берут тканую основу. А вот хлопок или полиэстер — это уже на ваш выбор. Кому что больше нравится.
Связующее
На третьей позиции в маркировке шлифовальной шкурки стоит цифра, которой закодирован способ закрепления абразива на основе. Используют клей или полимерные смолы, их комбинации. Клей хорошо «сцепляется» с абразивом и основой. Однослойное нанесение связующего (на маркировке цифра 2 в соответствующей позиции) применяют там, где наждак не подвергается сильной нагрузке.

Для более прочного удержания зерен, поверх клея наливается второй слой. Чаще всего это смола (фенольная или любая другая). Получается связка — клей + смола (цифра 3 в маркировке). Второй слой связующего делает наждак более устойчивым к истиранию.
Есть еще вариант — смола+смола (это 1 в кодировке). То есть, и первый, и второй слой делают из бакелитовой смолы. Стоимость такого варианта выше, что обусловило ее область использования — производства.
Способ нанесения и насыпки зерна
Есть два способа нанесения зерна на первичный слой связующего: свободный и электростатический. При свободном, частицы абразива просто насыпаются. Они лежат в свободном порядке, их направление случайно. При электростатическом способе засыпки зерна, бумагу пропускают через электрическое поле. В результате зерна имеют одинаковую ориентацию, что делает поверхность более шероховатой.

Кроме того, есть два типа насыпки зерна: открытая и закрытая. Отличаются они количеством частиц на единицу площади. При открытой засыпке острые фрагменты расположены на расстоянии друг от друга, видна (открыта) основа. Такая бумага хороша при работе с рыхлыми материалами. Например, с древесиной. Древесная пыль просыпается, абразив не забивается.
Закрытая засыпка зерна на наждаке более плотная. Частицы абразива лежат одна возле другой, основа практически закрыта, не просматривается. Такой тип шлифовальной шкурки хорош для жестких материалов (стали, например).
Какой должна быть зернистость наждачной бумаги для работы
Как вы понимаете, для разной обработки материалов применяется разная шлифовальная шкурка. Речь сейчас не о форме выпуска, а о размере зерна, способе его нанесения. Тип абразива и способ нанесения имеет вторичное значение. Они больше влияют на долговечность использования материала. Но как обычно, лучше — значит дороже. Тут каждый уже выбирает сам. А вот размер зерна лучше подбирать под конкретные задачи.

Какой наждачкой шлифовать дерево
Для того чтобы шкурка не забивалась, зерно должно быть нанесено с промежутками. Это открытый тип нанесения. В таком случае не придется часто ее «выбивать» или менять. Тип основы — бумага или ткань. Бумага дешевле, ткань дороже. Если есть шлифмашинка, смотрите в рекомендациях к ней. Для обработки вручную, можно закрепить кусок на специальный держатель или прибить к бруску.

Рекомендации по выбору зернистости даны в таблице. Для первичной обработки, идет шлифшкурка от P40 до P80. Это придание формы, снятие толстого слоя. Теми же материалами снимаем лак и краску с древесины. Для подготовки дерева к покраске нужна уже P100 до P240. Для шлифовки после нанесения первого слоя лака, берем P360 или P400. А доведение до гладкости — собственно полировка и лакировка — это уже совсем мелкие P500 и выше. Вообще, полировка — это отдельная тема, и там надо пошагово шлифовать и наносить краску или лак. И с каждым разом зерно берут все более тонкое. А завершают полировку, вообще мягким полировочным (войлочным) материалом.
Каким наждаком обрабатывать металл
Для обработки металла придется брать более жесткие абразивные материалы, а значит и более дорогие. Обычный корунд справится с алюминием и его сплавами. Ими же обрабатывают чугун, бронзу и черную сталь. Для латуни нужен хотя бы циркониевый, но лучше титановый или легированный электрокорунд. А еще лучше — керамический. Еще обратите внимание — способ нанесения должен быть закрытым.

Принцип подбора зернистости тот же: для грубой обработки повышенная «шершавость» крупного зерна, чем тоньше обработка, тем мельче абразив. Для снятия ржавчины и выравнивания основных шероховатостей берут самую грубую наждачку. Чем тоньше слой, тем меньше размер зерна. Так что тут все логично. Но обратите внимание, что на каждый вид работы приходится два или три размера зернистости. Это не значит, что надо брать любой из указанных. Это значит, что для получения хорошего результата надо обрабатывать каждым размером. Хотя, если внешний вид вам не так важен, тогда можно и одним размером из рекомендованных.
Наждачная бумага для пластика, камня, керамики и стекла
По типу абразива и его нанесения рекомендации те же: более прочные, более плотное расположение. Но шлифовка рекомендована с подачей воды, так что требуется водостойкая модификация наждака.

Для финишной доводки пластика и стекла, шлифовальная шкурка даже с самым маленьким зерном — та самая нулевка или P800 — будет слишком грубой. Она будет оставлять видимые царапины. Доводят до гладкости эти материалы при помощи пасты ГОИ и еще более тонких шлифовальных составов. Но это уже отдельная история и свои технологии.
